Fixed Cutter Bit Hydraulics
The hydraulics for fixed cutter bits is based on the drilling fluids ability to remove cuttings beneath the cutters and to cool the bit. Fluid volume is critical to PDC bit performance. Fluid volume and fluid velocity is critical to diamond bit performance.
The major components of fixed cutter bit hydraulics are:
1. flow rate - Q (gal/min) and V (ft/min)
2. drilling fluid characteristics - MD (lb/gal), YP (lbs/100ft2) and PV (cps)
3. pressure loss - across the bit face (diamond bit) or through the jet nozzles (PDC bit)
4. the Total Flow Area (TFA) - instead of nozzle sizes
A very important parameter in fixed cutter bits is “Hydraulic Power Per Square Inch” or HSI. It is calculated using Hhp (hydraulic horsepower):

where: Hhp = Hydraulic Horsepower
A = Bit Area (square inches)*
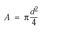
* If the area of the bit is not given, it can be calculated using:

where: d = bit diameter (inches)
The hydraulic horsepower equation is the same (Pb x Q/1714), however in fixed cutter bits, resistance to fluid flow is created by the diamonds, nozzles, flow area restrictions, cuttings and the uneven hole pattern. Pressure losses at the bit are calculated using:

The hydraulics for fixed cutter bits is based on the drilling fluids ability to remove cuttings beneath the cutters and to cool the bit. Fluid volume is critical to PDC bit performance. Fluid volume and fluid velocity is critical to diamond bit performance.
The major components of fixed cutter bit hydraulics are:
1. flow rate - Q (gal/min) and V (ft/min)
2. drilling fluid characteristics - MD (lb/gal), YP (lbs/100ft2) and PV (cps)
3. pressure loss - across the bit face (diamond bit) or through the jet nozzles (PDC bit)
4. the Total Flow Area (TFA) - instead of nozzle sizes
A very important parameter in fixed cutter bits is “Hydraulic Power Per Square Inch” or HSI. It is calculated using Hhp (hydraulic horsepower):

where: Hhp = Hydraulic Horsepower
A = Bit Area (square inches)*
* If the area of the bit is not given, it can be calculated using:

where: d = bit diameter (inches)
The hydraulic horsepower equation is the same (Pb x Q/1714), however in fixed cutter bits, resistance to fluid flow is created by the diamonds, nozzles, flow area restrictions, cuttings and the uneven hole pattern. Pressure losses at the bit are calculated using:

No comments:
Post a Comment